Contact Us List of our offices Contact details Cyber 2 Tower 33rd Floor Jl. Maybe youve been copying and pasting the same text every day.
Ethics Anti-Corruption Helpline.
Cbn customer care mail. 234 9 462 37804 234 9 462 37802. From the CBN report the volume of web transactions was put at 1108485 indicating a decline of 59 per cent compared with 1178300 in the second half of 2012. You can submit your letter at the CBN Head Office OR at any of the Central Bank of Nigeria.
However the value rose by 131 per cent to N207 billion from N183billion in the preceding period. Send your complaint via email to. CBN Main Switchboard 757 226-7000.
Isi alamat email dan password pada Account setup pilih Next. Commercial Agricultural Credit Scheme CACS. Type of Message.
Phone 021 - 39703 888. HR Rasuna Said X5 No. Ethics Anti-Corruption Helpline.
2016 CBN Internet. Or perhaps you wont let your new customer service agent send a support email without approving it first. HR Rasuna Said X5 No.
Email protected Authorized Dealer Enquires. Email protected Complaints Against Financial Institutions. Ethics Anti-Corruption Helpline.
Email protected Authorized Dealer Enquires. You may also call 800 700-7000. 234 9 462 37804 234 9 462 37802.
Pilih Settings Add. Email protected Complaints Against Financial Institutions. Your letter of Complaint should be addressed to the Director Consumer Protection Department.
Cyber 2 Tower 33rd Floor Jl. You can submit your letter at the CBN Head Office OR at any of the Central Bank of Nigeria branches of nationwide. Director Consumer Protection Department Central Business District Abuja Your letter of Complaint should be addressed to the Director Consumer Protection Department.
Either way youve been wasting precious time. 13 Jakarta Selatan 12950. See more contact options.
62-21 574 2481 CBN Customer Care 24 Hours Email. 234 9 462 37804 234 9 462 37802. Customer service email templates have the power to add hours back into your day.
13 Jakarta Selatan 12950 62 21 29964900 62 21 5742481. The fall in volume was attributed to users preference for other payment channels. 234 9 462 39246 234 9 462 36000 email protected email protected Forex Helpdesk.
Commercial Agricultural Credit Scheme CACS. Commercial Agricultural Credit Scheme CACS. Its our pleasure to assist you with your CBN partner account.
Bill Statement Overview An overview of how to read your CBN billing statement. 62-21 574 2481 CBN Customer Care 24 Hours Email. Email protected Complaints Against Financial Institutions.
Fill email address and password on Account setup choose Next. Address Ruko LAgricola Blok B no. 234 9 462 39246 234 9 462 36000 email protected email protected Forex Helpdesk.
General Superbook questions and orders 1-800-700-7000. Email protected Authorized Dealer Enquires. Using customer service email templates.
Director Consumer Protection Department Central Business District Abuja. 234 9 462 39246 234 9 462 36000 email protected email protected Forex Helpdesk.

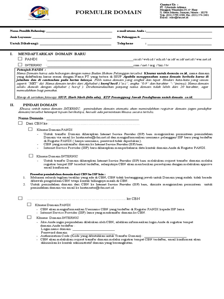
Fillable Online New Cbn Net Formulir Pendaftaran Fiber Broadband Cbn New Cbn Net Fax Email Print Pdffiller
Http Www Askcbn Id Assets Panduan 20email 20cbn 20di 20windows 20live 20mail Pdf

Cara Menghubungi Cs Cbn Fiber Indonesia 24 Jam
Cbn Fiber Kamu Yang Berdomisili Di Apartemen Kebagusan Facebook

Http Dramascools Com 3689 Foxs Summer Episode 21 Eng Sub Chinese Drama Html Tax Refund Check Mail Champagne Lovers

Central Bank Of Nigeria On Twitter Please Refer The Matter To The Consumer Protection Department Via Email Cpd Cbn Gov Ng Also Note That Your Bank Is Under Obligation To Acknowledge Your Complaint And Issue
Http Www Askcbn Id Assets Panduan 20email 20cbn 20di 20windows 20live 20mail Pdf

How To Check Your Bank Verification Number Bvn Recharge Phone Nigeria News Bank
Http Www Askcbn Id Assets Panduan 20email 20cbn 20di 20incredimail Pdf
Http Www Askcbn Id Assets Panduan 20email 20cbn 20di 20windows 20live 20mail Pdf

Central Bank Of Nigeria On Twitter The Email Cpd Cbn Gov Ng Is Functional Rest Assured That Every Complaint Sent To This Email Address Will Be Attended To

Cbn Fiber On Twitter Silahkan Hubungi Call Center Kami Di 1500780 Ya
Http Www Askcbn Id Assets Panduan 20email 20cbn 20di 20outlook 20express Pdf
Http Www Askcbn Id Assets Panduan 20email 20cbn 20di 20windows 20live 20mail Pdf

Call Center Cbn Jakarta Fill Online Printable Fillable Blank Pdffiller
